Zusammenhangsmaße verstehen und anwenden + Beispiele
Zusammenhangsmaße werden verwendet, um die Stärke eines statistischen Zusammenhangs zwischen zwei Variablen anzugeben.
Einige Zusammenhangsmaße geben darüber hinaus auch Auskunft über die Richtung des Zusammenhangs.
Welches Zusammenhangsmaß du verwenden kannst, hängt vom Skalenniveau deiner Daten ab.
Zusammenhangsmaße richtig anwenden
Die folgende Übersicht zeigt dir, bei welchem Skalenniveau du die verschiedenen Zusammenhangsmaße verwenden kannst und welche Formel du zur Bestimmung des Zusammenhangs benötigst.
Wusstest du schon, dass ...
Scribbr durchschnittlich 150 Fehler pro 1000 Wörter korrigiert?
Unsere Sprachexperten verbessern vor Abgabe deiner Abschlussarbeit den akademischen Ausdruck, die Interpunktion und sprachliche Fehler.
Nominale Daten
Bei nominalen Daten können wir den Chi-Quadrat-Wert und daraus Cramers V und den Kontingenzkoeffizienten bestimmen, um den Zusammenhang zwischen zwei Variablen anzugeben.
Chi-Quadrat
|
|
|
| Chi-Quadrat | |
| Gesamtanzahl der Zeilen | |
| Gesamtanzahl der Spalten | |
| absolute Häufigkeit der Merkmalskombination in i-Zeile und j-Spalte (beobachteter Wert) | |
| erwarteter Wert der absoluten Häufigkeit der Merkmalskombination in i-Zeile und j-Spalte | |
Die Formel vereinfacht in Worten:
Cramer‘s V
![]() |
|
| Cramers V | |
| Chi-Quadrat | |
| Gesamtanzahl (der Stichprobe) | |
die kleinere der beiden Zahlen für die Zeilenanzahl (m) und die Spaltenanzahl (k) in der Kreuztabelle |
|
Kontingenzkoeffizient
| Kontingenzkoeffizient nach Pearson | |
| Chi-Quadrat | |
| Gesamtanzahl (der Stichprobe) | |
die kleinere der beiden Zahlen für die Zeilenanzahl (m) und die Spaltenanzahl (k) |
|
Beispiel nominales Skalenniveau
Wir wollen den Zusammenhang zwischen der Wahl der Studienrichtung und dem Geschlecht der Studierenden bestimmen. Dazu haben wir 250 Personen von drei verschiedenen Studienrichtungen, nämlich Jura, Naturwissenschaften (NW) und Sozialwissenschaften (SW) befragt und folgende Antworten erhalten:
| Jura | NW | SW | Summe (Zeile) | |
| Weiblich | 38 | 35 | 57 | 130 |
| Männlich | 32 | 45 | 43 | 120 |
| Summe (Spalte) | 70 | 80 | 100 | 250 |
Zunächst bestimmen wir den Chi-Quadrat-Wert und wandeln diesen dann in den Kontingenzkoeffizienten um.
In unserem Beispiel haben wir ein Chi-Quadrat von χ2 = 3.69.
Dann setzen wir den Chi-Quadrat-Wert in die Formel für den Kontingenzkoeffizienten nach Pearson ein.
In der Formel steht M für die kleinere der beiden Anzahlen an Zeilen und Spalten. In unserem Beispiel haben wir zwei Zeilen (Geschlecht: männlich/weiblich) und drei Spalten (Studienrichtung: Jura/Naturwissenschaften/Sozialwissenschaften), also setzen wir M = 2 ein.
Ordinale Daten
Bei ordinalen Daten bestimmen wir den Rangkorrelationskoeffizienten nach Spearman, um den Zusammenhang zwischen zwei Variablen anzugeben.
| Rangkorrelationskoeffizient | |
| Rang für Fall i in der geordneten Datenreihe für Variable 1 | |
| Rang für Fall i in der geordneten Datenreihe für Variable 2 | |
| Gesamtanzahl der Fälle | |
Beispiel ordinales Skalenniveau
Wir haben acht Studierende nach ihren Abiturnoten in den Fächern Deutsch und Englisch gefragt und wollen nun den Zusammenhang zwischen den beiden Variablen bestimmen.
| Person | 1 | 2 | 3 | 4 | 5 | 6 | 7 | 8 |
| Punkte in Deutsch | 14 | 8 | 11 | 6 | 15 | 13 | 7 | 9 |
| Punkte in Englisch | 11 | 15 | 8 | 10 | 13 | 12 | 9 | 14 |
Dazu berechnen wir den Rangkorrelationskoeffizienten in fünf Schritten.
- Wir vergeben jeweils die Ränge 1–8 für die Punkte in den Fächern Deutsch und Englisch.
| Person | Punkte in Deutsch | Rang | Punkte in Englisch | Rang |
| 1 | 14 | 2 | 11 | 5 |
| 2 | 8 | 6 | 15 | 1 |
| 3 | 11 | 4 | 8 | 8 |
| 4 | 6 | 8 | 10 | 6 |
| 5 | 15 | 1 | 13 | 3 |
| 6 | 13 | 3 | 12 | 4 |
| 7 | 7 | 7 | 9 | 7 |
| 8 | 9 | 5 | 14 | 2 |
- Wir berechnen für jeden Fall einzeln die Differenz zwischen den Rängen der Noten. Anschließend quadrieren wir das Ergebnis.
| Person | ||
| 1 | 2 – 5 = – 3 | (-3)2 = 9 |
| 2 | 6 – 1 = 5 | 52 = 25 |
| 3 | 4 – 8 = – 4 | (-4)2 = 16 |
| 4 | 8 – 6 = 2 | 22 = 4 |
| 5 | 1 – 3 = – 2 | (-2)2 = 4 |
| 6 | 3 – 4 = – 1 | (-1)2 = 1 |
| 7 | 7 – 7 = 0 | 02 = 0 |
| 8 | 5 – 2 = 3 | 32 = 9 |
- Wir addieren die Ergebnisse aus Schritt 2 und multiplizieren die Summe mit 6.
- Wir setzen die Gesamtanzahl der untersuchten Fälle (n = 8) in
ein.
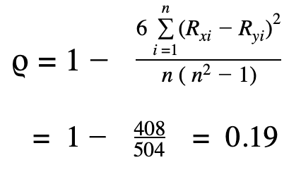
- Wir setzen alle Ergebnisse aus den Schritten 1–4 in die Formel ein:
Als Ergebnis erhalten wir ρ = 0.19. Daraus können wir ablesen, dass es einen positiven Zusammenhang zwischen den Punktzahlen in den Fächern Deutsch und Englisch gibt, dieser allerdings nicht sehr stark ist.
Metrische Daten
Bei metrischen Daten können wir die Kovarianz und (daraus) den Korrelationskoeffizienten bestimmen, um den Zusammenhang zwischen zwei Variablen anzugeben.
Kovarianz
![]() |
|
| sxy | Kovarianz der Variablen x und y |
| sx | Standardabweichung der Variable x |
| sy | Standardabweichung der Variable y |
| r | Korrelationskoeffizient (nach Bravais) |
Korrelationskoeffizient nach Pearson (r)
![]() |
|
| r | Korrelationskoeffizient |
|---|---|
| xi | Beobachtungswerte der Variable x |
| yi | Beobachtungswerte der Variable y |
| Arithmetisches Mittel aller Werte von x | |
| Arithmetisches Mittel aller Werte von y | |
| N | Gesamtanzahl |
| sxy | Kovarianz der Variablen x und y |
| sx | Standardabweichung der Variable x |
| sy | Standardabweichung der Variable y |
Beispiel metrisches Skalenniveau
Wir haben acht Personen nach der Entfernung zwischen ihrem Wohn- und Arbeitsort und der Dauer ihres Arbeitsweges gefragt und wollen nun den Zusammenhang zwischen den beiden Variablen bestimmen.
| Person | 1 | 2 | 3 | 4 | 5 | 6 | 7 | 8 |
| Entfernung Wohnort – Arbeitsplatz in km | 18 | 2 | 42 | 14 | 22 | 35 | 45 | 8 |
| Dauer des Arbeitsweges in min | 22 | 10 | 53 | 30 | 25 | 36 | 45 | 13 |
Dazu berechnen wir zunächst die Kovarianz und erhalten ein Ergebnis von sxy = 222.93, was bedeutet, dass ein positiver Zusammenhang zwischen den beiden Variablen „Entfernung” und „Dauer” besteht.
Im Artikel zur Kovarianz findest du eine Schritt-für-Schritt-Anleitung zur Berechnung dieses Wertes.
Außerdem haben wir über die Formel der Standardabweichung folgende Werte bestimmt:
sx = 15.86
sy = 14.95
Um die Stärke des Zusammenhangs mit anderen Zusammenhangsmaßen vergleichen zu können, berechnen wir aus der Kovarianz den Korrelationskoeffizienten:
Die Korrelation zwischen den beiden Variablen „Entfernung” und „Dauer” beträgt r = 0.94.
Übersicht Zusammenhangsmaße
Zum Abschluss haben wir noch einmal in der Übersicht zusammengefasst, welche Zusammenhangsmaße zu welchem Skalenniveau gehören:
Nominale Daten
Wir bestimmen den Chi-Quadrat-Wert und daraus Cramers V und den Kontingenzkoeffizienten.
Ordinale Daten
Wir bestimmen den Rangkorrelationskoeffizienten nach Spearman.
Metrische Daten
Wir bestimmen die Kovarianz und (daraus) den Korrelationskoeffizienten.
Häufig gestellte Fragen
Diesen Scribbr-Artikel zitieren
Wenn du diese Quelle zitieren möchtest, kannst du die Quellenangabe kopieren und einfügen oder auf die Schaltfläche „Diesen Artikel zitieren“ klicken, um die Quellenangabe automatisch zu unserem kostenlosen Zitier-Generator hinzuzufügen.
Benning, V. (2022, 02. Dezember). Zusammenhangsmaße verstehen und anwenden + Beispiele. Scribbr. Abgerufen am 12. Januar 2026, von https://www.scribbr.de/statistik/zusammenhangsmasse/








